شاخص VIX چیست؟ کاربرد و نحوه معامله با شاخص ویکس

شاخص VIX (ویکس) در اصل مخفف عبارت Volatility Index است و میزان نوسانات مورد انتظار بازار سهام را در بازه سیروزه آینده اندازهگیری میکند. مبنای شاخص ویکس، قیمت قراردادهای اختیار خرید و فروش شاخص S&P 500 است. ویکس معیاری برای سنجش سطح ریسک و احساسات کلی بازار محسوب میشود؛ بهگونهای که افزایش آن بیانگر ترس و عدم اطمینان سرمایهگذاران است. معاملهگران از این ابزار برای پیشبینی نوسانات و تصمیمگیری دقیقتر بهره میبرند.
تاریخچه شاخص VIX
شاخص VIX در سال 1993 توسط بورس اختیار معامله شیکاگو (CBOE) معرفی شد تا معیاری معتبر برای اندازهگیری نوسانات بازار ارائه کند. در نسخه اولیه، این شاخص نوسان ضمنی هشت قرارداد اختیار خرید و فروش شاخص S&P 500 را محاسبه میکرد. در آن زمان بازار مشتقه با محدودیتهایی همراه بود و VIX بیشتر برای سنجش نوسانات کوتاهمدت بازار به کار میرفت. با رشد بازار مشتقه، تعداد بیشتری از قراردادهای اختیار معامله در محاسبه VIX لحاظ شد و این موضوع دقت بیشتری در انعکاس انتظارات سرمایهگذاران ایجاد کرد.
در سال 2004 نخستین قراردادهای آتی مبتنی بر VIX معرفی و دو سال بعد، معاملات آپشن این شاخص نیز آغاز شد. این تحولات جایگاه VIX را بهعنوان یکی از ابزارهای کلیدی تحلیل بازار تثبیت کرد. بررسی تاریخچه این شاخص نشان میدهد که اوجگیریهای آن اغلب در دورههای بحرانی اتفاق افتاده است. در بحران مالی جهانی سال 2008، VIX به سطح بیسابقه 89.53 واحد در اکتبر همان سال رسید. در مارس 2020 نیز و همزمان با شیوع همهگیری کووید-19، این شاخص جهشی شدید را تجربه کرد و تا سطح 85.47 واحد افزایش یافت.
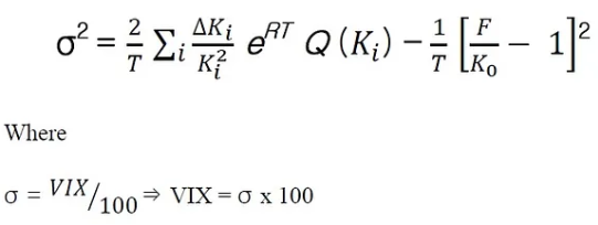
نحوه محاسبه شاخص VIX و جزئیات فرمول آن
شاخص VIX بر اساس قیمت قراردادهای اختیار خرید و فروش شاخص S&P 500 محاسبه میشود و بورس اختیار معامله شیکاگو (CBOE) وظیفه انتشار آن را بر عهده دارد. این قراردادها بازتابی از انتظارات معاملهگران نسبت به نوسانات آتی بازار هستند و به همین دلیل مبنای مناسبی برای اندازهگیری ولاتیلیتی ضمنی به شمار میروند. فرآیند محاسبه VIX شامل انتخاب آپشنهایی با تاریخ انقضای نزدیک به ۳۰ روز است. معمولا قراردادهایی با سررسید ۲۳ تا ۳۷ روز در محاسبات لحاظ میشوند و در صورت نبود سررسید دقیق، میانگین وزنی دو سررسید مجاور استفاده میشود. این روش دقت شاخص را در نمایش نوسانات آینده افزایش میدهد. همانطور که قابل مشاهده است فرمول محاسبه VIX پیچیده است و مجموعهای از متغیرهای ریاضی را شامل میشود.

در این محاسبات، نرخ بهره بدون ریسک تا زمان سررسید اختیار معامله و همچنین قیمتهای اعمال مختلف در نظر گرفته میشوند. نقطه تعادلی که کمترین فاصله بین قیمت خرید و فروش را دارد، بهعنوان مبنای محاسبه انتخاب میشود. سپس سهم هر قیمت اعمال در واریانس محاسبه شده و تمامی این سهمها با یکدیگر جمع میشوند.
افزایش قیمت اختیار معاملهها نشاندهنده انتظار بازار برای نوسانات بیشتر است و کاهش آنها معمولا به افت شاخص VIX منجر میشود.
تفسیر مقادیر شاخص VIX و سطوح روانشناسی بازار
شاخص VIX بهعنوان یک معیار روانشناختی، بازتابی از احساسات سرمایهگذاران نسبت به آینده بازار است. تفسیر مقادیر این شاخص در تحلیل ریسک و تصمیمگیریهای معاملاتی اهمیت زیادی دارد، زیرا به طور مستقیم میزان ترس، نگرانی یا آرامش سرمایهگذاران را نشان میدهد.
۱. سطوح پایین VIX (زیر ۲۰): مقادیر کمتر از ۲۰ بیانگر آرامش نسبی بازار و خوشبینی سرمایهگذاران است. در این شرایط، انتظار میرود نوسانات محدود باشد. سطوح کمتر از ۱۲ نشاندهنده ریسک بسیار پایین و افزایش تمایل به ریسکپذیری است؛ هر چند گاهی آرامش بیش از حد میتواند هشداری برای اصلاح قریبالوقوع بازار باشد.
۲. محدوده ۲۰ تا ۳۰: وقتی VIX بین ۲۰ تا ۳۰ قرار دارد، بازار در وضعیت نوسانات متوسط قرار میگیرد. این شرایط اغلب نشانه وقوع تغییرات کوتاهمدت است و باعث میشود سرمایهگذاران با احتیاط بیشتری عمل کنند.
۳. سطوح بالای ۳۰: مقادیر بیشتر از ۳۰ نشاندهنده ترس شدید و عدم اطمینان گسترده در بازار است. در این وضعیت، سرمایهگذاران انتظار نوسانات بالا و حتی افت شدید قیمتها را دارند. معمولا افزایش این شاخص با حرکت سرمایهها به سمت داراییهای امن همراه میشود. برخی معاملهگران خلافگرا نیز رشد شدید VIX را بهعنوان سیگنال خرید در نظر میگیرند.
۴. سطوح بحرانی (۴۰ به بالا): زمانی که شاخص به بالای ۴۰ یا ۵۰ میرسد، شرایط بحرانی تلقی میشود. اوجهای تاریخی VIX معمولا در دورههای بحران مالی جهانی یا شوکهای غیرمنتظره بازار ثبت شده است. برای نمونه، در بحران مالی ۲۰۰۸ مقدار شاخص به رکورد 89.53 واحد رسید و در مارس ۲۰۲۰ همزمان با شیوع همهگیری کووید-۱۹ تا 85.47 واحد افزایش یافت.
در ادامه نمودار شاخص VIX آمریکا در تایم فریم هفتگی قابل مشاهده است.

رابطه معکوس شاخص VIX با شاخص S&P 500
میان شاخص VIX و شاخص S&P 500 یک همبستگی قوی و معکوس وجود دارد. شاخص S&P 500 عملکرد سهام ۵۰۰ شرکت بزرگ و فعال ایالات متحده آمریکا را نشان میدهد و بهعنوان یکی از مهمترین نماگرهای کل بازار سهام این کشور شناخته میشود. افزایش VIX اغلب با افت S&P 500 همراه است و کاهش آن به رشد این شاخص منجر میشود. دلیل این رابطه معکوس، افزایش تقاضا برای ابزارهای پوششی در زمان ترس و نگرانی بازار است.
هنگامیکه سرمایهگذاران انتظار نزول دارند، اقدام به فروش سهام میکنند و این فشار فروش باعث افت S&P 500 و رشد VIX میشود. در مقابل، کاهش VIX بازتابی از آرامش بازار و افزایش تمایل سرمایهگذاران به ریسکپذیری است که به رشد S&P 500 منجر میشود. به همین دلیل، تحلیلگران از VIX بهعنوان یک شاخص پیشنگر برای تغییرات بازار سهام یاد میکنند.
معاملهگران از این همبستگی برای تحلیل و تصمیمگیری در خصوص شاخص S&P 500 استفاده میکنند. به طور معمول، مقدار VIX کمتر از 15 نشانه آرامش بازار و سیگنال بالقوهای برای خرید محسوب میشود، درحالیکه ورود شاخص به محدوده 30 تا 35 نشاندهنده ترس شدید و سیگنالی برای فروش در نظر گرفته میشود. البته اعتبار این سیگنالها معمولا با ابزارهای تحلیل تکنیکال تایید میشود.
کاربرد شاخص VIX در فارکس چیست؟
شاخص VIX بهعنوان ابزاری کمکی برای ارزیابی احساسات کلی در بازار فارکس نیز مورد استفاده قرار میگیرد. این شاخص به معاملهگران امکان میدهد تصمیمات معاملاتی دقیقتری اتخاذ و میزان ترس، نوسانات و تمایل سرمایهگذاران به داراییهای پرریسک را ارزیابی کنند.
افزایش شاخص VIX و تمایل به داراییهای امن: افزایش VIX نشاندهنده ترس و عدم اطمینان بیشتر در بازار است و در این حالت معمولا تقاضا برای داراییهای امن افزایش مییابد. دلار آمریکا و فرانک سوئیس، از جمله ارزهایی هستند که بهعنوان پناهگاه امن شناخته میشوند و طلا نیز در این شرایط معمولا با افزایش تقاضا همراه میشود. در مقابل، ارزهای پرریسک مانند دلار استرالیا و پوند بریتانیا تحت فشار عرضه قرار میگیرند.
کاهش شاخص VIX و افزایش ریسکپذیری: کاهش VIX بیانگر آرامش بازار و افزایش تمایل به داراییهای پرریسک است. در این شرایط، تقاضا برای داراییهای امن کاهش مییابد و کالاهای صنعتی مانند نفت و مس مورد توجه معاملهگران قرار میگیرند.
معاملهگران از سطوح کلیدی VIX برای طراحی استراتژیهای معاملاتی بهره میبرند. زمانی که VIX بالای ۳۰ باشد، تقویت ارزهای امن مانند دلار آمریکا محتمل است و خرید جفت ارزهایی مانند USD/JPY توصیه میشود. به طور کلی، ترکیب تحلیل VIX با ابزارهای تکنیکال به تعیین نقطه ورود و خروج بهینه کمک میکند.
شاخص VIX در کریپتو
شاخص VIX نوسانات شاخص S&P 500 را ارزیابی میکند و به طور مستقیم در بازار ارز دیجیتال وجود ندارد. با این حال، ابزارهای مشابهی مانند VCRIX برای سنجش نوسانات و احساسات بازار رمزارزها طراحی شدهاند.
ارزهای دیجیتال بهعنوان داراییهای پرریسک شناخته میشوند. افزایش شاخص VIX در بازارهای سنتی نشاندهنده بیثباتی و ترس شدید است که معمولا سرمایهگذاری در داراییهای پرریسک مانند ارزهای دیجیتال را کاهش میدهد. در نتیجه، افزایش VIX اغلب با کاهش قیمت رمزارزها همراه است. در شرایط ترس شدید در بازارهای سنتی، واکنش بازار کریپتو نیز محسوس است.
ابزارها و محصولات مالی مرتبط با شاخص VIX و نحوه معامله آنها
شاخص VIX به طور مستقیم قابل معامله نیست، اما ابزارهای متنوعی برای کسب سود یا مدیریت ریسک از طریق نوسانات آن طراحی شدهاند. این ابزارها به سرمایهگذاران امکان میدهند در معرض تغییرات سطح ترس و نوسان بازار قرار بگیرند.
۱. قراردادهای آتی VIX: یکی از روشهای اصلی معامله غیرمستقیم روی این شاخص، قراردادهای آتی است که در بورس اختیار معامله شیکاگو (CBOE) معامله میشوند. معاملهگران با خرید آتی VIX روی افزایش نوسانات شرطبندی میکنند و در صورت انتظار کاهش نوسان، این قراردادها را میفروشند. استفاده حرفهای از این ابزار معمولا با هدف پوشش ریسک پرتفوی انجام میشود.
۲. قراردادهای اختیار معامله (Options): اختیار خرید و فروش روی VIX ابزار دیگری برای مدیریت ریسک در برابر شوکهای ناگهانی بازار است. این قراردادها امکان کسب سود از جهش سریع ترس عمومی را فراهم میکنند و برای معاملهگرانی که به دنبال پوشش در برابر نوسانات شدید هستند، کاربرد زیادی دارند.
۳. صندوقهای ETF و ETN مرتبط با VIX: صندوقهای قابل معامله مانند VXX و UVXY دسترسی سادهتری به نوسانات VIX ایجاد میکنند. این ابزارها بیشتر برای استراتژیهای کوتاهمدت مناسب هستند. با این حال، در بلندمدت عملکرد آنها ممکن است با خود شاخص متفاوت باشد که علت آن ساختار صندوقها و هزینههای مربوط به قراردادهای آتی است. ابزارهای معکوس و اهرمی مرتبط با VIX نیز وجود دارند که ریسک بالایی دارند و صرفا برای استفاده حرفهای و کوتاهمدت پیشنهاد میشوند.
استراتژیهای معاملاتی مبتنی بر شاخص VIX
شاخص VIX یکی از ابزارهای کلیدی در طراحی استراتژیهای معاملاتی است. معاملهگران از دادههای این شاخص برای مدیریت ریسک و پیشبینی روند بازار بهره میبرند. ترکیب تحلیل VIX با روشهای تکنیکال و فاندامنتال موجب افزایش دقت در تصمیمگیری میشود.
- استراتژی معکوسنگری و بازگشت به میانگین
VIX معمولا پس از جهشهای شدید به محدوده نرمال بازمیگردد؛ رفتاری که به بازگشت به میانگین شناخته میشود. افزایش این شاخص نشاندهنده ترس بیش از حد بازار است و فرصت خرید سهام را آشکار میکند. در این شرایط، فروش اختیار نوسان در اوج VIX میتواند سودآور باشد. برعکس، تثبیت این شاخص در سطوح بسیار پایین، خرید اختیار خرید روی VIX را برای پیشبینی افزایش نوسانات توجیه میکند.
- استراتژی مبتنی بر سطوح VIX
سطوح کلیدی VIX در معاملات اهمیت دارند. عبور این شاخص از عدد ۳۰ بیانگر افزایش ترس و عموما سیگنالی برای فروش S&P 500 محسوب میشود. اگر VIX زیر عدد ۲۰ قرار گیرد، آرامش بازار و افزایش ریسکپذیری معاملهگران را نشان میدهد. در این حالت خرید سهام پرریسک مناسب است.
- ترکیب VIX با تحلیل تکنیکال
تحلیل VIX به تنهایی کافی نیست و باید با ابزارهای تکنیکال همراه شود. استفاده از الگوهای کندلی نقاط ورود دقیقتری را مشخص میکند. ترکیب این شاخص با RSI امکان شناسایی نواحی اشباع خرید یا فروش را فراهم میکند.
- کاربرد در مدیریت ریسک و زمانبندی بازار
VIX ابزاری موثر برای مدیریت ریسک در پرتفوی است. افزایش آن معاملهگران را به کاهش داراییهای پرریسک و افزایش نقدینگی سوق میدهد. همچنین این شاخص در تعیین زمان ورود و خروج از بازار نقش کلیدی دارد و به تنظیم اندازه موقعیتها متناسب با سطح ریسک کمک میکند.
انواع شاخصهای نوسان مرتبط با VIX و کاربرد تخصصی آنها
محبوبیت شاخص VIX باعث شد مدلهای دیگری برای ارزیابی دقیقتر نوسانات و احساسات بازارها طراحی شوند. هدف اصلی همه این شاخصها سنجش ترس و ناپایداری مورد انتظار است. در ادامه برخی از شاخصهای مرتبط با بازار سهام آمریکا نوشته شده است.
- VXN: نوسانات مورد انتظار شاخص نزدک 100 را میسنجد و به دلیل سهم بالای شرکتهای فناوریمحور، معمولا نوسانیتر از VIX است.
- RVX: نوسانات شاخص راسل 2000 (شرکتهای کوچکتر) را ارزیابی میکند و در دورههای عدم اطمینان، رفتاری پرنوسانتر از VIX دارد.
- VXD: تغییرات نوسان در شاخص داوجونز را اندازهگیری میکند. به دلیل ثبات بیشتر شرکتهای داوجونز، این شاخص معمولا آرامتر از VIX است.
- VSTOXX: نسخه اروپایی VIX که نوسانات شاخص یورواستاکس 50 را نشان میدهد.
- نوسان نیکی (Nikkei Volatility Index): معیار نوسانات بازار ژاپن را نشان میدهد.
- VXFXI: شاخص نوسان چین بر مبنای MSCI China را نشان میدهد.
این شاخصها با الگوبرداری از VIX طراحی شدهاند و امکان مقایسه سطح ترس و ریسک در بازارهای جهانی را فراهم میکنند.
محدودیتها، چالشها و معایب کاربرد شاخص VIX
شاخص VIX با وجود جایگاه مهم در تحلیل احساسات بازار و پیشبینی نوسانات، ابزاری کامل و بینقص نیست. درک محدودیتهای آن برای بهرهگیری هوشمندانه ضروری است.
۱. نوسانات مورد انتظار در برابر نوسانات واقعی: VIX تنها نوسانات مورد انتظار (ولاتیلیتی ضمنی) ۳۰ روز آینده را نشان میدهد و بازتابی از احساسات فعلی بازار است. این شاخص الزاما با نوسانات واقعی آینده یا شاخصهایی مانند نوسان تاریخی و انحراف معیار تطابق ندارد و همین موضوع میتواند موجب خطای تحلیلی شود.
۲. عدم معامله مستقیم و پیچیدگی ابزارهای وابسته: شاخص VIX در پلتفرمهایی مانند تریدینگ ویو تنها برای مشاهده و تحلیل در دسترس است و امکان معامله مستقیم آن وجود ندارد. سرمایهگذاری روی VIX صرفا از طریق ابزارهای مشتقهای مانند قراردادهای آتی، آپشنها یا صندوقهای ETF/ETN امکانپذیر است. با این حال ابزارهای وابسته به دلیل ساختار خاص و هزینههای رولکردن قراردادها در بلندمدت عملکردی متفاوت و حتی منفی نسبت به خود شاخص دارند.
۳. محدودیت در کاربرد و زمانبندی: واکنش VIX به تغییرات بازار گاهی با تاخیر همراه است و برای پیشبینیهای کوتاهمدت دقت کمتری دارد؛ بنابراین بیشتر در تحلیلهای میانمدت و بلندمدت کاربرد دارد. این شاخص مختص نوسانات S&P 500 در بازار آمریکا طراحی شده و کارایی اصلی آن برای داراییهای دلاری است. افزایش VIX همیشه به معنای سقوط قریبالوقوع سهام نیست و ممکن است صرفا ناشی از تقاضای بیشتر برای پوشش ریسک باشد.
۴. تاثیرپذیری از احساسات و رویدادها: تحلیل VIX به شدت تحتتاثیر اخبار ناگهانی و فضای هیجانی بازار قرار دارد. این ویژگی گاهی منجر به حرکات شدید و سیگنالهای کاذب میشود و دقت آن را کاهش میدهد.
جمعبندی
شاخص VIX در عمل ابزاری کلیدی برای مدیریت ریسک، زمانبندی ورود و خروج از بازار و تدوین استراتژیهای معاملاتی محسوب میشود. با این حال، به دلیل عدم قابلیت معامله مستقیم و تاثیرپذیری از عوامل روانی، تحلیل آن باید همراه با ابزارهای تکنیکال و بنیادی و در چارچوب مدیریت ریسک جامع انجام گیرد.



